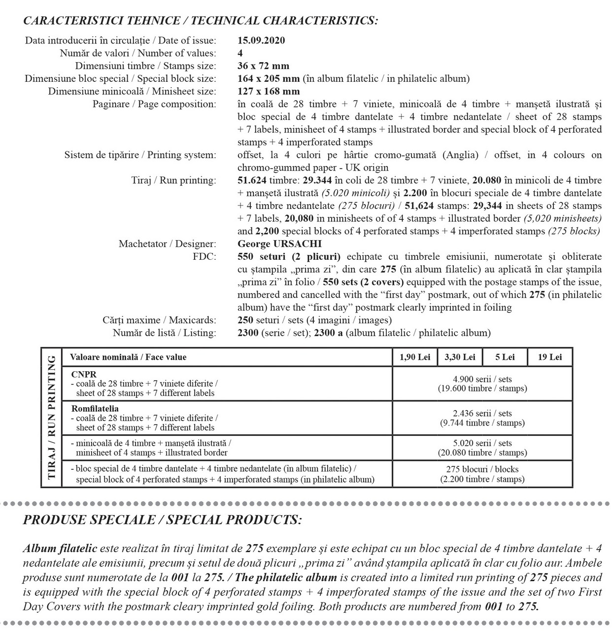
Piesele de vestimentație regală au pasionat dintotdeauna atât publicul, cât și colecționarii. Romfilatelia continuă seria mărcilor poștale dedicate acestei tematici, prin emisiunea Uniformele regalității (III). Reginele României, care va intra în circulație marți, 15 septembrie 2020.
Regulile vestimentare pentru capetele încoronate sunt foarte stricte, iar la realizarea lor sunt folosite materiale variate, care trebuie să se încadreze în standardele decenței. Totuși, unele regine ale României au ieșit câteodată din normele epocii, remarcându-se vizibil cu moda abordată în afara țării.
Regina Elisabeta (1843-1916) spunea că: „Toaleta pe care o porți nu este un lucru fără importanță. Ea îți dă viață!”. Adesea îmbrăcămintea Reginei a fost considerată de către apropiați, sau de către oaspeți, ca adevărate îndrăzneli de vedetă. Rochiile-tunică albe erau acoperite de bijuterii nu tocmai regale, ci fantezii cu dimensiuni mari, precum și tot felul de danteluri și broderii neașteptate. Sub o bogată haină de blană, Regina purta câte un veșmânt amplu din catifea roșie foarte închis, ce semăna mai degrabă cu un halat de casă, împodobit cu broderii pestrițe, în talie cu câte un cordon din mătase fină, ce semăna mai degrabă cu o sforicică. Purta pălării cu boruri mici, cu o voaletă de care-și fixa pince-nez-ul.
Regina Elisabeta a epatat prin ținutele la modă din Occident și prin portul tradițional românesc. S-a lăsat fotografiată în ii, făcând publicitate, cu imaginea ei, Regatului României.
Regina Maria (1875-1938) a reușit să impună un stil vestimentar propriu, iar în multe dintre fotografii o vedem în ținute ce par mult mai lejere decât ale altor suverane ale timpului, dar și mai avangardiste, care abordează moda ilustrată a anilor 1880-1918, lucru datorat firesc vizitelor numeroase pe care ea le făcea la Paris. Pentru realizarea toaletelor, Regina Maria, precum și fiicele sale, apelau la renumiții creatori de modă francezi: Jean Patou, Paul Poiret, Redfern, Cheruite și nu în ultimul rând Gabrielle Chanel.
Costumele tradiționale au fost apreciate de asemenea de Regină, însă erau stilizate și modernizate, fără a le strica farmecul sau specificul acestora. Bijuteria preferată a Reginei Maria era colierul din perle, asortat inclusiv la costumul popular.
Regina Maria s-a afișat adesea și în uniforme militare, dar și în uniformă de soră medicală, în anii Primului Război Mondial.
Regina Elena (1896-1982), descendentă a familiei regale a Greciei, a fost încântată să promoveze tradițiile autentice românești, fiind celebre în epocă fotografiile sale în costume populare. După proclamarea lui Mihai ca rege, în 1927 și 1940, a avut calitate de Regină-Mamă, însoțindu-și fiul în ținute elegante, după moda epocii. Diadema cu motive grecești a Reginei Elena a reprezentat un accesoriu remarcabil, fiind purtată cu onoare la ocazii speciale de Regina Ana și de Majestatea Sa Margareta, Custodele Coroanei.
Regina Ana (1923-2016) a fost discretă atât în viața publică, cât și prin vestimentație. Atenția mai redusă a Reginei Ana la adresa modei și ținutelor de gală a fost moștenită de la mama sa, prințesa Margaret a Danemarcei, care obișnuia să spună: „Eu nu mă îmbrac, eu mă acopăr”. Într-un interviu din anul 2008, Regina Ana spunea că a preferat să se ocupe de casă, iar ideea de protocol nu-i spunea nimic. Modestia este însă motivul pentru care Regina Ana omite să amintească de o perioadă din cel de-Al Doilea Război Mondial, când a purtat cu mândrie și respect uniforma forțelor militare franceze libere, fiind decorată cu Crucea de Război a Franței.
Pe cele patru timbre ale emisiunii sunt ilustrate Reginele Elisabeta (1,90 lei), Maria (3,30 lei), Elena (5 lei) și Ana (19 lei), îmbrăcate în vestimentație de ceremonial, cu podoabe și diademe.
Romfilatelia mulțumește Casei Majestății Sale Custodele Coroanei și Muzeului Național Peleș pentru sprijinul documentar și fotografic acordat la realizarea acestei emisiuni de mărci poștale.
Album filatelic este realizat în tiraj limitat de 275 exemplare și este echipat cu un bloc special de 4 timbre dantelate + 4 nedantelate ale emisiunii, precum și setul de două plicuri „prima zi” având ștampila aplicată în clar cu folio aur. Ambele produse sunt numerotate de la 001 la 275.






